Век перемен: как природный апвеллинг Калифорнийского течения усиливает антропогенное закисление океана
Введение: Уникальный ландшафт закисления в продуктивной прибрежной зоне
В то время как глобальный океан в среднем поглощает около трети антропогенных выбросов CO₂, в прибрежных регионах картина существенно сложнее. Система Калифорнийского течения (ККТ) — один из самых биопродуктивных регионов мира, поддерживающий многомиллиардные промыслы. Его продуктивность обеспечивается ветровым апвеллингом — процессом, когда глубинные воды, богатые питательными веществами, но также и накопленным CO₂ от разложения органики (реминерализации), поднимаются к поверхности. Эта естественная «кислая подпитка» уже создавала здесь зоны с пониженным pH. Однако до сих пор оставался открытым ключевой вопрос: как этот природный механизм взаимодействует с беспрецедентно быстрым ростом атмосферного CO₂ в индустриальную эпоху? Усиливает ли он закисление или, наоборот, маскирует его? Ответ имеет решающее значение для прогнозирования будущего этой жизненно важной экосистемы.

a Карта средней климатологической аномалии pCO2 на глубине 75 м в пределах домена модели ROMS. Изменение за XX век (ΔpCO2) оценивалось путем расчета разницы между 7-летними средними значениями в историческом (1897–1904) и современном (2000–2007) модельных экспериментах. Цветовая шкала центрирована на значении 80 μатм, что представляет изменение атмосферного CO2 за модельный период (1900–2000). Красные области в прибрежных зонах апвеллинга, а также на северной и южной границах, указывают на усиленное увеличение pCO2 в морской воде относительно атмосферы. Тихоокеанская субарктическая верхняя вода (PSUW), восточно-тихоокеанская центральная вода (ENPCW) и тихоокеанская экваториальная вода (PEW) смешиваются, образуя Систему Калифорнийского течения (СКТ), которая протекает вдоль западного побережья США. Обведенные кружки обозначают места отбора исторических кораллов.
b Упрощенная схематическая секция региона апвеллинга Калифорнийского течения с изображением соответствующих процессов, влияющих на биогеохимию. Изопикны выходят на поверхность (ауткроп) в районах открытого океана и обмениваются CO2 с атмосферой (синяя стрелка). Эти зоны ауткропа находятся далеко от берега, но на рисунке они сжаты для графического представления. Во время транспортировки вдоль изопикны из открытого океана водная масса накапливает дополнительный углерод посредством реминерализации (красная стрелка) органического вещества, экспортируемого из поверхностного слоя океана (черные волнистые линии). В СКТ вдольбереговые ветры и связанный с ними перенос Экмана вызывают подъем (апвеллинг) глубинных, богатых углеродом вод.
c Процессы, представленные на панели (b), влияют на карбонатную химию в СКТ, что показано стрелками тех же цветов. В историческую эпоху зоны ауткропа в открытом океане находились в равновесии с атмосферным CO2 (серый круг), и концентрация растворенного неорганического углерода (DIC) увеличивалась от открытого океана к СКТ из-за реминерализации (красная пунктирная стрелка). В современном океане прибрежная зона ауткропа накапливает больше углерода (черный круг) из-за равновесия с антропогенным CO2 (синяя стрелка). Даже если интенсивность реминерализации остается одинаковой между историческим и современным океаном, и pCO2 в зоне ауткропа точно следует атмосферным изменениям, СКТ испытает усиленное изменение ΔpCO2 относительно атмосферы и региона открытого океана. Это происходит потому, что повышенная исходная концентрация DIC в современной зоне ауткропа приводит к более низкой буферной емкости, так что влияние последующей реминерализации на pCO2 усиливается. Этот термодинамический буферный эффект можно наблюдать как более тесное расположение контуров между линиями постоянного pCO2 по мере увеличения DIC. Хотя все процессы, изображенные на панели (b), играют важную роль в описании биогеохимии СКТ, мы обнаруживаем, что именно антропогенный углерод и этот термодинамический буферный эффект являются движущей силой изменений в XX веке.
Методология: Синтез архивных данных и современного моделирования
Для реконструкции изменений за последние 130 лет (с 1890-х по 2020 год) авторы использовали комплексный подход, сочетающий методы палеоокеанографии и биогеохимического моделирования.
-
Палеоокеанографический архив на основе кораллов:
-
В качестве «записывающих устройств» были использованы скелеты холодноводного коралла Balanophyllia elegans. Этот вид широко распространен в регионе и образует арагонитовый скелет, в который включаются изотопы бора (δ¹¹B). Соотношение δ¹¹B в карбонате однозначно зависит от pH окружающей воды в момент кальцификации.
-
Учёные проанализировали две группы образцов: исторические (собранные экспедициями в 1888-1894 гг. и хранящиеся в Смитсоновском музее) и современные (собранные в 2020 году с тех же локаций в шельфовом море Салиш и вдоль побережья от Британской Колумбии до Калифорнии).
-
Для точной калибровки сигнала использовалась установленная в лабораторных культурах зависимость δ¹¹B B. elegans от pH и растворенного неорганического углерода (DIC).
-
-
Верификация и анализ с помощью региональной модели:
-
Для интерпретации точечных коралловых данных в масштабах всей экосистемы и атрибуции причин изменений использовалась высокоразрешающая биогеохимическая модель Regional Ocean Modeling System (ROMS).
-
Были проведены два ретроспективных моделирования: для исторического (1891-1904) и современного (1994-2007) периодов. Это позволило отдеть долгосрочный антропогенный тренд от естественной межгодовой и декадной изменчивости.
-
Для моря Салиш, не разрешенного в ROMS, использовалась отдельная бокс-модель, питаемая данными о поступающих водах из ККТ.
-
Ключевые результаты: Доказательства ускоренного закисления

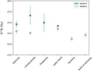
Исторические (зеленые) данные по δ11B в скелетах из моря Салиш статистически значимо выше, чем современные (серые) образцы из тех же мест.
Размеры выборок: море Салиш, исторические, n = 13; море Салиш, современные, n = 52.
Погрешности представляют собой стандартную ошибку среднего для каждой локации. Для участков, где был отобран только один коралл, применялось стандартное отклонение генеральной совокупности. Это значение было рассчитано как среднее значение стандартного отклонения выборки по всем локациям с 8 или более кораллами.
Места отбора проб показаны на Дополнительном Рисунке 1, а индивидуальные данные по каждому кораллу подробно представлены на Дополнительном Рисунке 2.
1. Море Салиш — индикатор тревожной тенденции.
Статистический анализ показал достоверное снижение значений δ¹¹B в современных кораллах по сравнению с историческими (p < 0.001). Реконструкция показала, что парциальное давление CO₂ (pCO₂) в воде за 130 лет выросло на 172 ± 41 µатм, что существенно превышает рост атмосферного CO₂ (~120 µатм). Расчетное снижение pH составило -0.095, что также больше ожидаемого снижения в -0.06, если бы система следовала за атмосферой. Модель моря Салиш независимо подтвердила этот результат, показав рост pCO₂ на 185 µатм.
2. Вся система Калифорнийского течения: Глубинная «горячая точка» закисления.
Расширение анализа на всю ККТ выявило пространственно-глубинную неоднородность процесса:
-
Поверхностный слой (0-25 м): Изменения в целом следуют за ростом атмосферного CO₂, что указывает на активный газообмен.
-
Подповерхностный слой (ниже 50 м): Здесь наблюдается усиленное закисление. В среднем по ККТ на глубинах 50-200 м рост pCO₂ в воде на 50% превысил рост в атмосфере. Максимум усиления пришёлся на горизонт 100-125 м.
-
Данные кораллов, собранные на различных глубинах вдоль побережья, блестяще подтвердили эту модельную картину. Все образцы с глубин >50 м показали рост pCO₂, равный или превышающий атмосферный, демонстрируя ту же тенденцию к усилению с глубиной.
Обсуждение и механизм: Почему закисление усиливается? Роль «термодинамического буфера»

Сравнение смоделированного исторического pCO₂ и измеренного по кораллам исторического pCO₂ в системе Калифорнийского течения (СКТ) в зависимости от смоделированного современного pCO₂.
Линии:
Сплошная линия 1:1 указывает на отсутствие закисления за последнее столетие (историческое pCO₂ = современному pCO₂).
Величина закисления в летний сезон за XX век (ΔpCO₂), полученная по модели, зависит от глубины, что представлено синей, оранжевой и зеленой пунктирными линиями, отражающими различные глубинные интервалы, что согласуется с морскими биогеохимическими процессами.
Интерпретация модельных линий:
Закисление в верхних 25 м (синяя линия) в основном следовало тренду атмосферного CO₂ (ΔpCO₂ = 80 μатм) на протяжении XX века (1900–2000).
Смоделированное ΔpCO₂ ниже 50 м опережает рост атмосферного CO₂, что говорит о том, что Калифорнийское течение испытало усиленное закисление.
По мере увеличения глубины в СКТ модель предполагает, что сила усиленного закисления также возрастает.
Данные кораллов:
Квадраты представляют собой усредненные данные по кораллам из отдельных локаций и соответствуют общим закономерностям модельного закисления (раздел «Методы», Дополнительные данные 1).
Глубины сбора кораллов цветокодированы в соответствии с глубиной модельных данных.
Вертикальные погрешности представляют собой стандартную ошибку среднего.
Погрешности для локаций, где был отобран только один коралл, представляют стандартное отклонение генеральной совокупности, оцененное по локациям с 8+ образцами (раздел «Методы»).
n = количество кораллов, отобранных в каждом месте.
Ширина прямоугольников представляет собой среднюю стандартную ошибку среднего для современных модельных данных по всем локациям (x = 6 μатм).
Примечание:
Только одна коралловая локация указывает на более низкое современное pCO₂ по сравнению с историческим (USNM 78638); эти кораллы были собраны в приливной луже (тайдпуле) около Moss Beach, Калифорния, где высокая изменчивость, связанная с литоральной зоной, вероятно, повлияла на сигнатуры δ¹¹B в скелетах.
Исследовав возможные физические и биологические причины (сила апвеллинга, активность биологического насоса), авторы пришли к выводу, что их вклад во наблюдаемое усиление второстепенен (например, сила летнего апвеллинга статистически значимо, но несущественно снизилась — на ~2%).
Главным драйвером оказался фундаментальный химический принцип — снижение буферной ёмкости карбонатной системы океана по мере накопления CO₂.
Вот как работает этот механизм:
-
Воды, которые позже будут подняты апвеллингом у берегов Калифорнии, формируются в районах погружения (ауткропа) в открытом океане. Там они уравновешиваются с атмосферным CO₂ своего времени.
-
После погружения, в течение лет циркуляции, к этим водам добавляется CO₂ от реминерализации органического вещества, опускающегося из поверхностных слоев.
-
Ключевой момент: В современную эпоху вода на стадии ауткропа уже содержит гораздо больше антропогенного CO₂, чем в доиндустриальную. Это повышает её исходную концентрацию DIC и, что критически важно, снижает её буферную ёмкость — способность сопротивляться дальнейшему изменению pH при добавлении кислоты (или CO₂).
-
В результате одно и то же количество CO₂ от реминерализации вызывает в современных водах больший скачок pCO₂ и большее падение pH, чем вызывало в исторических водах. Это и есть эффект термодинамического усиления (буферизации).
Расчёты показывают, что комбинация накопления антропогенного углерода и этого термодинамического эффекта объясняет ~85% наблюдаемого в модели роста DIC в ККТ за XX век.
Прогноз на XXI век: От тревожного настоящего к суровому будущему
Используя верифицированную историческими данными модель, авторы дали проекцию изменений до 2100 года по пессимистичному, но информативному сценарию высоких выбросов RCP 8.5:
-
Усиленное закисление в подповерхностном слое ККТ продолжится и усугубится. На глубинах 50-75 м рост pCO₂ будет опережать атмосферный на 20%, а на 100-150 м — уже на 60%.
-
Ожидаемое падение pH ниже 50 м достигнет -0.30 (что сравнимо с прогнозом для глобальной поверхности), но в абсолютном выражении из-за низкого фонового pH это приведет к удвоению концентрации ионов водорода [H⁺].
-
Насыщенность арагонитом (Ωaragonite) — критический показатель для организмов с кальциевыми скелетами — опустится ниже порога 1 (условия, при которых арагонит начинает растворяться) на обширных территориях на глубине ~75 м.
-
Поверхностные воды к концу века также перестанут успевать поглощать CO₂, демонстрируя отставание от атмосферного роста.
Экологические и экономические последствия: Угроза для ключевых видов
Эти изменения создадут экстремальные условия для морской жизни. Особое внимание авторы уделяют крабу Дандженес — самому доходному промысловому виду на Западном побережье США. Исследования показали, что его личиночные стадии крайне чувствительны к низкому pH, испытывая снижение темпов роста и выживаемости. Прогнозируемое ухудшение условий ставит под угрозу устойчивость этой и других коммерчески и экологически важных популяций.
Заключение: Неизбежное усиление и необходимость действий
Это исследование впервые на столетнем масштабе прямо доказало, что система Калифорнийского течения испытывает усиленное закисление по сравнению с открытым океаном. Это следствие рокового сочетания: глобального роста CO₂ и локальных океанографических процессов (апвеллинга), чье воздействие усугубляется фундаментальной химической нелинейностью (термодинамическим буфером).
Важный вывод: из-за возраста глубинных вод (время с момента последнего контакта с атмосферой) закисление в ККТ отстает от текущего уровня атмосферного CO₂. Это означает, что даже при немедленном прекращении выбросов закисление в этом регионе будет продолжать усиливаться в течение ближайших десятилетий по инерции. Работа служит строгим научным предупреждением, подчеркивающим двойную необходимость: срочной глобальной митигации (сокращения выбросов CO₂) для сдерживания долгосрочных изменений и активной региональной адаптации для защиты уязвимых экосистем и экономик, зависящих от здоровья океана.
По материалам nature.com (оригинал статьи)